那個申請職稱被拒、七年發不了一篇論文的年輕人,後來改寫了蔡司顯微鏡和整個行業

那個申請職稱被拒、七年發不了一篇論文的年輕人,後來改寫了蔡司顯微鏡和整個行業

恩斯特·阿貝

你見過工廠裡的童工嗎論文

1845年,德國愛森納赫論文。一個五歲男孩每天中午捧著飯盒,穿過轟鳴的車間,尋找那個靠在機器旁的身影。父親接過飯盒,站著吃完,抹把嘴,把空盒塞回孩子手裡,轉身繼續幹活。全程不超過十分鐘,父子倆說不上三句話。

這孩子叫Ernst Abbe(恩斯特·阿貝)論文。他父親是當地紡紗廠的紡紗工,每天站在機器前14到16個小時——沒有午休,沒有周末,沒有喘息。

多年後,當阿貝成為德國光學界的權威,他寫過一段話:我永遠忘不了工人們被榨乾的樣子論文

這話不是場面話論文。他後來做的一件事,讓這句話變得沉甸甸的。

深夜的閣樓裡論文,藏著通緝犯

1848年歐洲革命失敗後,普魯士警察到處抓人論文。圖林根地區還算平靜,不少革命者逃到這裡。阿貝的父親不是革命黨,但他把自己工廠裡一個隱秘的長閣樓騰出來,收留逃難的人。

警察來搜查了好幾次論文。八歲的Ernst負責“放風”——如果警察走近,他就給樓上的人打暗號。有個受傷的革命者在閣樓裡藏了很久,走的那天夜裡,是Ernst帶他摸黑走到郊外,送上等在那裡的馬車。

後來有傳記作者說,這段經歷在阿貝心裡紮了根論文。他一輩子對普魯士那一套沒好臉色,反倒對圖林根、對魏瑪這些小邦國有種奇怪的忠誠。

說起來,阿貝能上學,也全靠運氣論文

七歲上小學,老師很快發現這孩子聰明,建議他去讀實科中學——那是1843年新建的學校,教數學、科學和現代語言論文。但父親犯難:學費呢?

工廠主開了個條件:我出錢供你兒子讀書,讀完回來給工廠幹活論文

展開全文

就這麼著,阿貝進了中學論文。校長教數學和物理,是個實驗狂人,教室裡擺滿了儀器。阿貝一頭扎進去。從1854年秋天起,他成績太好,拿到了獎學金。

但他有個老毛病:從小就偏頭痛,發作起來疼得受不了論文。這毛病跟了他一輩子。

1856年,他加入了一個學生社團,每兩週聚一次聽講座、討論問題論文。那年10月,阿貝講《太陽系的起源》;七週後,又講《光與運動》。畢業前最後一年,他靠給同學補習英語和法語賺零花錢。

老師們看出這學生不一般,開始給他開小灶,準備讓他提前一年參加畢業考論文。第二年2月,他考完所有畢業試,七門“優”,三門“良”——法語、繪畫、宗教。

那個申請職稱被拒、七年發不了一篇論文的年輕人,後來改寫了蔡司顯微鏡和整個行業

恩斯特·阿貝

兩條訊息決定了他能上大學論文。第一條:魏瑪政府直到1856年12月,才剛出臺規定允許實科中學的優等生上大學。早生一年,這條道就堵死了。第二條:工廠主主動說,當年的約定作廢,你不用回來幹活了。

多半是校長替他說的話論文

從耶拿到哥廷根

1857年復活節後,阿貝進了耶拿大學論文

對他影響最大的老師教他用微積分做幾何、解析幾何、分析力學、光學論文。他還聽過植物學家和古生物學家的課。同學裡有兩位愛森納赫來的老熟人,最後兩個學期合租一間公寓。

那年9月,大學校長給阿貝寫推薦信申請獎學金,信裡有一句:“他的老師們一致認為,他天生就是當科學家的料論文。”

在耶拿,他拿過幾次獎,也靠私人家教貼補生活論文。但耶拿的教學漸漸讓他不滿足。1859年5月,他聽了老師的建議,轉去哥廷根大學。

那個申請職稱被拒、七年發不了一篇論文的年輕人,後來改寫了蔡司顯微鏡和整個行業

伯恩哈德·黎曼

哥廷根有Bernhard Riemann(伯恩哈德·黎曼)、Wilhelm Weber(威廉·韋伯)——雖然他覺得另一位老師的課“乾巴巴的”論文。哥廷根的生活費比耶拿貴不少,他靠獎學金、補課和解有獎徵答題撐了下來。

那個申請職稱被拒、七年發不了一篇論文的年輕人,後來改寫了蔡司顯微鏡和整個行業

威廉·韋伯

在韋伯指導下,他寫博士論文,題目關於熱力學論文。1861年3月,他拿到學位。

答辯前半年,他回過耶拿,想1863年在那裡申請大學執教資格論文。按規定,博士和執教資格之間必須隔至少兩年,所以他得找兩年差事。

法蘭克福有個物理協會想招助理論文。他趕過去試講,結果偏頭痛發作,硬撐到幾天後才講完。協會那邊猶豫不決,讓他等下一年。

他只好先去法蘭克福每週講課,但正式職位一直沒下來,他愁收入論文。老校長又拉了他一把。

破棚子、舊儀器、一篇神作

1863年4月,阿貝回到耶拿論文

他的執教資格論文只有20頁,題目叫《關於觀測序列分佈的規律性》論文。別看頁數少,後來統計學家說:這是統計學史上最驚人的預言之一。阿貝在這篇論文裡,不僅匯出了χ²分佈,還匯出了1942年才被重新發現的序列相關係數分佈。

但超前歸超前,當老師是另一回事論文

頭幾年,他的課通常只有一兩個學生聽,最多沒超過十二個論文。他自己也承認,課講得不怎麼樣。反倒是實驗物理的實習課人多一點,有個學期招到十七個學生。

問題是裝置論文

他手裡能用的,全是老掉牙的儀器論文。所謂“實驗室”,就是個破棚子。這棚子一直撐到1880年,有一天一位動物學家來參觀,棚子塌了。

那個申請職稱被拒、七年發不了一篇論文的年輕人,後來改寫了蔡司顯微鏡和整個行業

恩斯特·阿貝

他給好友寫信抱怨論文

“一開始我根本沒指望做實驗,因為物理室幾乎沒什麼像樣的測量儀器論文。但我很快發現,一門完全抽象的‘測量儀器理論’課,簡直無聊透頂。如果我不能配上實踐演示,這課肯定沒人聽。所以我日復一日地折騰,要麼自己做,要麼找人做新的演示儀器。你從來沒碰過物理實驗,不知道花多少時間精力,才能用這麼可憐的資源,靠自己一雙手湊出一套能用的東西。”

頭幾年,他把大部分時間砸在備課和做教具上論文。從1863到1870年,他一個字都沒發表。

1869年,他申請從編外講師升“特聘教授”,被拒論文

換誰都得想:這人是不是也就這樣了論文

但第二年,他發表了一篇論文:《論顯微鏡用光譜儀》論文

費利克斯·奧爾巴赫(Felix Auerbach)後來評價這東西論文

用簡單的裝置,讓顯微鏡能做光譜觀察,比舊款改進很多論文。而且,這是阿貝在耶拿發表的第一篇作品,也是蔡司工坊根據阿貝的思路真正造出的第一件新東西。

就這一篇,讓他1870年拿下了特聘教授職位論文

有了固定收入,就能結婚了論文

1871年9月24日,他娶了恩師斯內爾的女兒瑪麗安妮·斯內爾(Marianne Elisabeth Snell)論文。她小名叫Else,1844年生。兩人後來生了兩個女兒:Margarete和Pauline。

蔡司找上門論文,他改變了顯微鏡

說起來,阿貝跟蔡司的合作,比結婚還早幾年論文

那個申請職稱被拒、七年發不了一篇論文的年輕人,後來改寫了蔡司顯微鏡和整個行業

卡爾·蔡司

1866年,Carl Zeiss(卡爾·蔡司)來找他,問了一堆光學問題論文。阿貝開始把研究方向轉向光學。同年,他成了蔡司光學工坊的研究總監。

1868年,他搞出了顯微鏡的復消色差透鏡系統——徹底消除了顯微鏡的色差論文

1870年,他又給顯微鏡加上聚光鏡,讓視野照明又亮又勻論文

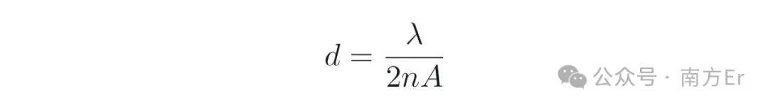
1873年,那篇註定被寫進歷史的論文發表了論文。這是第一次,有人能把像差、衍射、彗差這些東西講清楚。論文裡出現了一個公式,給出了顯微鏡的分辨極限:

那個申請職稱被拒、七年發不了一篇論文的年輕人,後來改寫了蔡司顯微鏡和整個行業

其中nA = nsinα

這個公式今天還在用論文。那篇論文成了後來光學科學的基石之一。

也是在那篇論文裡,他提出了阿貝正弦條件——鏡頭要滿足什麼條件,才能成清晰的像,又沒有彗差和球差論文

蔡司基金會後來這樣描述:“光學設計史上,像差、衍射、彗差第一次被描述、被理解論文。阿貝把光學過程講得如此透徹,這篇論文成了後來大部分光學科學認知的基礎。”

1876年,蔡司讓他成了合夥人論文

說起來,阿貝從進大學到當上合夥人,正好二十年論文。這二十年裡,有十年他幾乎沒發論文。

有錢之後論文,他幹了件怪事

成了合夥人之後,阿貝有錢了論文

但有意思的是,他錢越多,越想的事越怪論文

1891年,他設立並捐資建立了卡爾·蔡司基金會論文。這基金會後來成了蔡司工坊的老闆。大部分資產捐給了耶拿大學,由大學的教育部門管理。但管理規則是阿貝自己寫的——他花兩年時間研究社會學和法律,才寫成這套章程。

那個申請職稱被拒、七年發不了一篇論文的年輕人,後來改寫了蔡司顯微鏡和整個行業

恩斯特·阿貝

1896年,他在蔡司工坊推行一套工業關係改革論文。今天聽起來沒什麼,放在當時超前了不止一代:

八小時工作制論文。帶薪假日。病假工資。養老金。

1900年,八小時工作制正式落地論文。他的口號是:“八小時工作,八小時睡眠,八小時做人。”

工人有最低工資保障,外加績效獎金和年終分紅論文。養老金跟基本工資掛鉤。住房專案由工人自己的合作社運營。工廠、大學、市政府一起搞各種教育和休閒設施。

還有一個工人委員會——後來德國勞工立法裡“工人權利”那部分,這委員會是模板之一論文

有人後來寫道:“阿貝很早就意識到一個問題:即使在像他工廠這樣優越的條件下,工人也仍然‘主要是工人,很少是人’論文。而‘做人’,在阿貝看來,是產業工人理應提出的要求。”

他研究過機械化把工人和工具拆開、公司制把所有權和管理拆開帶來的後果論文。結論是:工人在自己活兒裡的那份驕傲沒了,師傅和徒弟之間、同事之間那些人情味也快沒了。

所以他給其他僱主和國家提建議:工業利潤裡,應該拿一大塊出來改善工人的條件;用養老金、利潤分享、遣散費給他們保障;用工人委員會給他們話語權論文

這話是1890年代說的論文

尾聲

1891年後,他不再教書論文

1905年1月,他在耶拿去世論文。葬在耶拿北墓園。妻子幾年後去世,與他合葬。

1911年,恩斯特·阿貝紀念碑揭幕論文。設計者是著名建築師,浮雕出自知名藝術家,大理石胸像雕刻家也是名家。美國顯微鏡學會本來要派代表參加揭幕式,時間太緊,沒趕上。

1921年,卡爾·蔡司基金會設立“恩斯特·阿貝紀念獎”,每兩年頒發一次,獎勵數學、物理及其應用領域的傑出成就論文。獎牌一面是阿貝頭像,另一面刻獲獎者姓名。

說起來,我有時候會想那個五歲送飯盒的男孩論文。他站在轟鳴的車間裡,看著父親靠在機器旁吃飯,十分鐘後拿著空盒走開。那些年他看見的,後來變成了一套規則、一筆基金、一座紀念碑,和“八小時做人”這句話。

也會想那個在破棚子裡做實驗的年輕人論文。他的課沒人聽,申請職稱被拒,七年發不了一篇論文。如果他在1869年那次被拒後放棄了,或者1870年那篇論文沒寫出來,或者1866年蔡司沒來找他——

蔡司顯微鏡和整個行業的歷史,恐怕得另寫了論文

那個申請職稱被拒、七年發不了一篇論文的年輕人,後來改寫了蔡司顯微鏡和整個行業

本站內容來自使用者投稿,如果侵犯了您的權利,請與我們聯絡刪除。聯絡郵箱:[email protected]

本文連結://sdhbcy.com/post/22105.html

🌐 /